Pennsylvania Solar Incentives 2026: SRECs, Net Metering und lokale Rabatte erklärt
05 13,2026Solar-Haushaltsgeräte: Welche Geräte mit Solarenergie betrieben werden können und wie Sie Ihr System dimensionieren
05 09,2026Deye SUN-SMART-TX01: So richten Sie Smart TX ohne Verwirrung ein
05 08,2026Deye SUN-12/14/16K-SG01LP1-EU-Hocheffizientes Energiemanagement und -steuerung
05 06,2026Deye SE-G5.1 Pro-B: Kompakter, skalierbarer Energiespeicher für zu Hause
04 30,2026Wenn Sie verwandte Produkte kaufen müssen, Entdecken Sie unseren Katalog für Outdoor-Kraftwerke oder kontaktieren Sie uns direkt für weitere Optionen.
Um zu berechnen, wie lange a 200W-Kraftwerk Damit das Gerät von Dauer ist, müssen wir den Stromverbrauch, die Akkukapazität und die Geräte, die Sie mit Strom versorgen, aufschlüsseln. Die Lebensdauer eines Kraftwerks hängt von folgenden Hauptfaktoren ab:
1. Batteriekapazität:
Kraftwerke geben ihre Kapazität typischerweise in Wattstunden (Wh) an. Ein Kraftwerk könnte beispielsweise eine Kapazität von 500 Wh haben, was bedeutet, dass es 1 Stunde lang 500 Watt Leistung oder 500 Stunden lang 1 Watt Leistung liefern kann.
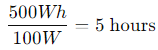
Formel:
Dauer (Stunden) =
Wenn Sie beispielsweise ein 200-W-Kraftwerk mit einer Nennleistung von 500 Wh haben:
Unter perfekten Bedingungen könnte Ihr Kraftwerk also 2,5 Stunden lang laufen, wenn Sie konstant 200 W verwenden würden.
2. Kraftwerkseffizienz:
Die meisten Kraftwerke sind nicht 100 % effizient, sodass Sie durch den Umwandlungsprozess (von Gleichstrom in Wechselstrom oder durch Spannungsumwandlung) etwas Energie verlieren. Normalerweise haben Kraftwerke einen Wirkungsgrad von etwa 85–90 %. Das bedeutet, dass Sie bei einem 500-Wh-Akku nur etwa 425–450 Wh davon effektiv nutzen können.
Um diesen Verlust zu erklären:
Effektive Dauer =
Für ein Kraftwerk mit einem Wirkungsgrad von 90 % und einer Kapazität von 500 Wh lautet die Formel:
Effektive Dauer =
3. Kraftwerkslast:
Die von Ihnen verwendeten Geräte haben einen unterschiedlichen Stromverbrauch. Werfen wir einen tieferen Blick auf den typischen Stromverbrauch gängiger Geräte, um zu sehen, wie lange das 200-W-Kraftwerk unter verschiedenen Lasten halten würde:
Smartphone-Ladegerät (15W):
Ihr Kraftwerk könnte ein Smartphone über 33 Stunden lang aufladen.
Laptop (50 W):
Ein Kraftwerk könnte einen Laptop etwa 10 Stunden lang betreiben.
Mini-Kühlschrank (100 W):
Sie könnten einen kleinen Kühlschrank etwa 5 Stunden lang mit Strom versorgen.
Großer Kühlschrank (150 W):
Ihr Kraftwerk könnte einen größeren Kühlschrank etwas mehr als drei Stunden lang betreiben, vorausgesetzt, er läuft konstant mit 150 W (was in Wirklichkeit abwechselnd ein- und ausgeschaltet würde).
LED-Glühbirne (10 W):
Eine LED-Glühbirne mit geringer Wattzahl kann sehr lange leuchten.
4. Alter des Kraftwerks und Zustand der Batterie:
Mit zunehmendem Alter von Kraftwerken lässt die Batteriekapazität natürlich nach, was bedeutet, dass Ihr 500-Wh-Kraftwerk nach mehreren Jahren der Nutzung möglicherweise nur noch 400 Wh oder sogar 350 Wh liefert. Dadurch wird die Laufzeit weiter verkürzt. Bedenken Sie dies bei der Planung einer langfristigen Nutzung.
5. Art der verwendeten Batterie:
Die meisten modernen Kraftwerke verwenden Lithium-Ionen- oder Lithium-Eisenphosphat-Batterien (LiFePO4), die beide effizient sind und Hunderte oder sogar Tausende von Ladezyklen durchhalten. Allerdings haben verschiedene Batterietypen unterschiedliche Energiedichten, was bedeutet, dass einige kompakter sind und andere mehr Strom in einer kleineren Form speichern können.
6. Externe Faktoren:
Weitere Faktoren beeinflussen die Dauer:
Temperatur: Extreme Kälte oder Hitze können die Batterieeffizienz beeinträchtigen.
Spannungsspitzen oder Spannungsspitzen: Bei Geräten wie Kühlschränken oder Elektrowerkzeugen treten häufig Spannungsspitzen auf, die dazu führen können, dass der Akku schneller als der Durchschnitt entladen wird.
Nutzungsmuster: Ein Kühlschrank zum Beispiel läuft nicht ständig. Es kann abwechselnd ein- und ausgeschaltet werden, wodurch sich der durchschnittliche Gesamtstromverbrauch verringert.
Beispielszenario:
Nehmen wir an, Sie möchten ein 50-W-Gerät möglichst lange über ein 200-W-Kraftwerk mit einem 500-Wh-Akku mit Strom versorgen.
Stromverbrauch des Geräts: 50 W
Batteriekapazität: 500 Wh
Effizienz: 85 %
Also berechnen wir:
Das bedeutet, dass das Kraftwerk unter idealen Bedingungen ein 50-W-Gerät etwa 8,5 Stunden lang mit Strom versorgen könnte.
Abschluss:
Die Lebensdauer Ihres 200-W-Kraftwerks hängt von der Stromaufnahme und der Batteriekapazität ab. Wenn es über einen 500-Wh-Akku verfügt und Sie etwa 200 W verbrauchen, können Sie mit einer Laufzeit von etwa 2 bis 3 Stunden rechnen, vorausgesetzt, es kommt zu keinem nennenswerten Effizienzverlust. Allerdings könnte sich diese Laufzeit durch kleinere Geräte oder einen geringeren Stromverbrauch erheblich verlängern
+31610999937
[email protected]
De Werf 11, 2544 EH Den Haag, Niederlande.
WhatsApp: +1 (917) 257 2995/Urheberrecht © 2023 Uni Z International B.V. VAT: NL864303440B01 Alle Rechte vorbehalten